当前位置:
首页
>
政府信息公开
>
法定主动公开内容
>
公示公告
>
通知公告
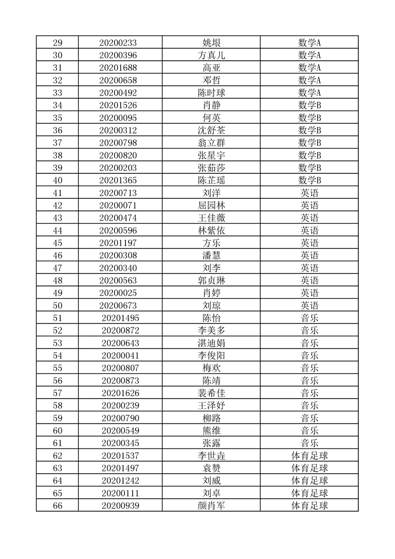
2020年岳阳楼区公开招聘教师参加体检人员名单
来源:岳阳楼区教育局 岳阳楼区人力资源和社会保障局
2020-08-09 21:52
浏览量:
1
|
|
|
|