当前位置:
首页
>
政府信息公开
>
法定主动公开内容
>
公示公告
>
通知公告
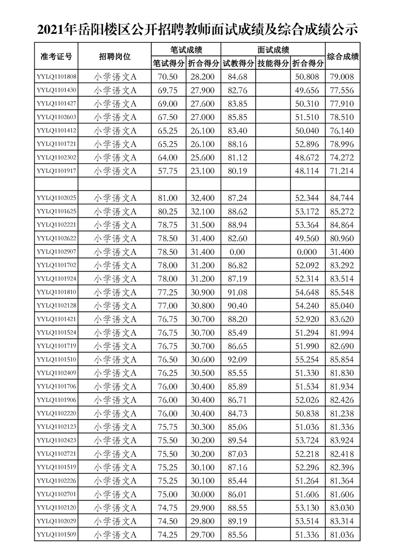
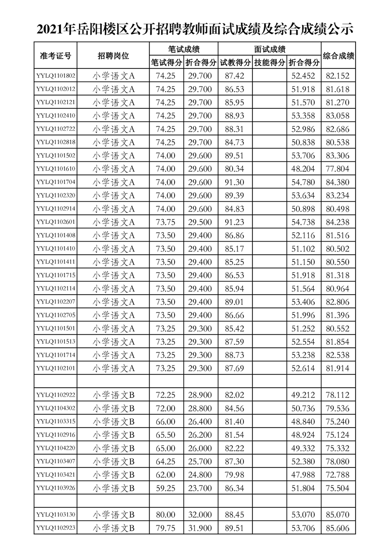
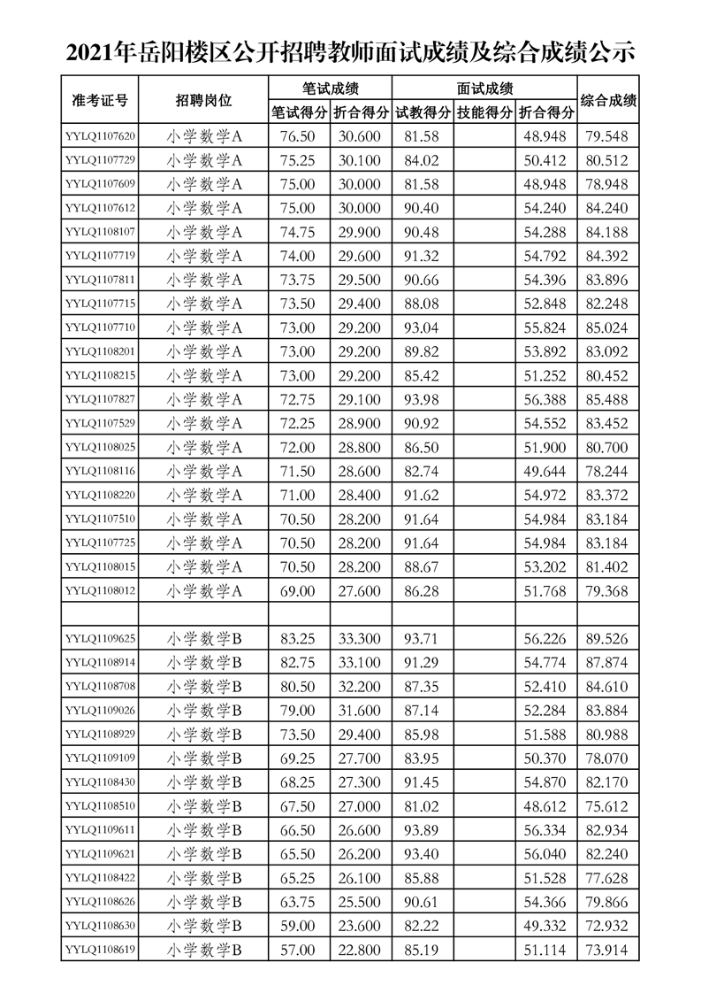
2021年岳阳楼区公开招聘教师面试成绩及综合成绩公示
来源:岳阳楼区教育局 岳阳楼区人社局
2021-09-12 23:15
浏览量:
1
|
|
|
|